[CVPR 2019] Wing Loss for Robust Facial Landmark Localisation with Convolutional Neural Networks

이번에도 Facial Landmark Localization 논문입니다. 새로운 Loss 함수를 제안한 논문으로, 기존에 리뷰한 논문과는 다른 2D 기반의 Landmark Localization 방법론입니다.


Wing Loss for Robust Facial Landmark Localisation with Convolutional Neural Networks – [바로가기]

Facial Landmark Localization / Face Alignment 는 얼굴 이미지에서 미리 정의된 Landmark point-set 의 좌표를 찾는 것을 목표로 합니다. 다른 2D Landmark Localization 연구의 대부분에서는 L2 Loss를 사용하지만, L2 Loss는 outlier에 민감하다는 단점이 있습니다. 따라서 해당 논문에서는 Facial Landmark 를 고려한 새로운 Loss를 제안합니다.

CNN-based facial landmark localisation

다들 익숙하시다시피 CNN-based 의 Model에서는 적절한 네트워크 및 Loss를 설계하여 Loss를 최소화하며 학습을 진행합니다. 여기서 loss란 prediction과 GT 사이의 차이를 측정하는 사전에 정의된 손실 함수입니다. 그리고 이를 최적화하기 위해 확률적 경사 강하(SGD)와 같은 최적화 알고리즘을 사용하기도 합니다.

본 논문에서는 facial landmark localisation에서 다양한 Loss 함수를 실험적으로 분석하기 위해 CNN-6이라는 간단한 아키텍처를 사용하여 train/test 를 빠른 속도로 실험할 수 있었습니다. 또한 성능 향상을 위해 facial landmark localisation에서 처음으로 ResNet 을 사용하엿다고 합니다.

Wing Loss

CNN-based Facial Landmark Detection이기 때문에 적절한 Loss를 설계하는 것 역시 성능에 주요한 영향을 미칩니다. 기존 방법에서는 대부분 L2 Loss를 사용하면서 Loss 와 관련된 실험 및 분석이 많이 부족합니다. 따라서 이번 장에서는 L2 Loss 뿐만 아닌 다른 Loss 함수를 사용하여 비교 및 분석을 진행합니다. 그리고 더 나아가 기존에 정의된 Loss 가 아닌 Facial Localization의 정확도를 향상시킬 수 있는 새로운 Loss인 Wing Loss를 제안합니다.

(1) Analysis of different loss functions

여러 손실함수 비교 분석에 앞서 사용되는 Loss 들은 다음과 같이 정의됩니다.

  1. L1 loss
    L1(x) = |x|
  2. L2 loss
    L2(x) = \frac{1}{2}x^2
  3. The smooth L1 loss :

각각의 Loss 를 비교하기 위해 AFLW-Full 데이터셋을 사용합니다. 이 데이터셋은 train: 20,000 / test: 4,386 개가 존재하며 19개의 랜드마크로 구성됩니다. 그리고 비교 실험에는 3가지 모델을 사용합니다. (해당 모델은 L2 Loss를 사용함)

  1. CCL (CVPR 2016) : Random Forest 기반의 multi-view Cascaded Compositional Learning
  2. TR-DRN (CVPR 2017) : Two-stage Re-initialisation Deep Regression Network
  3. DAC-CSR (CVPR 2017) : cascaded shape regression 기반의 다중 뷰 방법론

세 가지 다른 손실 함수를 사용하여 AFLW에서 CNN-6 네트워크를 학습한 결과는 아래 표에서 확인할 수 있습니다. 간단한 모델인 CNN-6을 사용해도 CCL(기계학습 기반)보다 좋은 성능을 가집니다. 뿐만 아니라 단순한 모델임에도 불구하고 정확도 측면에서 대개 사용되는 L2보다 L1 그리고 smooth L1 이 더 높고 기존 SOTA 역시 능가하게 됩니다.

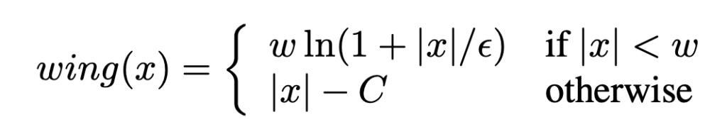
(2) The proposed Wing loss

아래 그림 CED(Cumulative Error Distribution) 곡선을 통해 Loss 에 대한 CNN-6 네트워크 결과를 비교할 수 있습니다. NME가 클 때에는 모든 손실 함수가 잘 수행되지만, 작거나 중간 범위의 에러에는 성능 차이가 발생합니다. 다시 말해, 작거나 중간 범위의 오류를 개선해야한다고 해석할 수 있습니다. 이 목표를 달성하기 위해 본 논문에서는 Facial Landmark Detection을 위한 새로운 손실함수인 Wing-Loss 를 제안합니다.

아래 L1 및 L2의 기울기의 크기는 각각 1|x|로 optimal step size는 |x| 과 1이어야 합니다. 두 경우 모두 최소값을 찾는 것은 간단하지만, 여러 지점의 랜드마크를 동시에 최적화하려고 할 때에는 복잡해집니다. 두 경우 모두 큰 오류에 집중되어 업데이트되기 때문입니다. L1의 경우, 기울기의 크기는 모든 점에 대해 동일하지만, step size는 더 큰 오류에 의해 불균형적으로 영향을 받습니다. L2의 경우, step size는 동일하지만 gradients는 큰 에러에 의존하게 됩니다. 따라서 두 경우 모두 상대적으로 작은 에러를 보정하기는 어렵습니다.

이런 작은 에러의 영향은 ln x와 같은 대체 손실 함수를 사용하면 보완할 수 있습니다. 왜냐하면 1/x이라는 기울기는 에러가 0에 가까워질수록 증가하기 때문입니다. optimal step size는 x^2입니다. 여러 점의 영향을 종합할 때, gradient는 작은 값을 가지는 오류에 더 큰 영향을 미치지만, step size는 큰 값을 가지는 오류에 더 큰 영향을 받습니다. 이렇게 하면 크기가 다른 오류 사이의 영향을 받는 그 균형이 맞춰지게 됩니다.

그림 4에서 볼 수 있듯이, wing-Loss는 L2, L1, 그리고 smooth L1보다 정확한 성능을 가집니다. wing-loss는 NME를 2 × 10-2에서 1.88 × 10-2로 감소시킬 수 있었고, (표 1)에서 얻은 결과보다 6% 낮으면서 기존 SOTA인 TR-DRN)보다 13% 낮은 결과를 보입니다.

다시 정리하면 Wing-Loss의 key-idea는 작고 중간 크기의 오류가 있는 샘플이 Train에 기여하는 영향력을 높이는 것이며, 이를 통해 성능 향상을 가져올 수 있었습니다.

Author: 홍 주영

1 thought on “[CVPR 2019] Wing Loss for Robust Facial Landmark Localisation with Convolutional Neural Networks

  1. 리뷰 잘 읽었습니다.
    얼굴과 관련된 연구에서는 유사한 생김새를 구분 해야 하기 때문에 모델의 구분력을 강인하게 하기 위해 loss 식들을 많이 제안하는 것 같네요.

    Wingloss가 ln(x+1)을 도입하면서 작은 에러 값에서보다 강인하게 작동한다는 것은 이해가 갑니다.

    하지만… 수식을 보면 w가 작은 에러값이 생성 될 수 있는 x를 판단하는 변곡점에 해당하는 것으로 보입니다. 근데 w에 대한 설명이 없어 이해가 잘 안됩니다.

    |x|가 w보다 작을 때는 C 값에 상관없이 자연 로그를 취하는 건가요? 그럼 w가 에러값을 대체하는 걸로 보이는데…
    |x|-w < 0 으로 조건식을 변경해보면 w가 C를 대체하는 것으로 볼 수 있고, w가 하이퍼 파라미터면... 각 케이스에 대해 어떻게 고려되는건지... 상황상 w를 learnable parameter인데... 음... 설명 부탁 드립니다. 그리고 입십론은 그냥 하이퍼 파라미터인가요?

Leave a Reply